Your Contoh soal ujian basic avsec pdf images are ready in this website. Contoh soal ujian basic avsec pdf are a topic that is being searched for and liked by netizens today. You can Download the Contoh soal ujian basic avsec pdf files here. Download all royalty-free photos.
If you’re looking for contoh soal ujian basic avsec pdf images information connected with to the contoh soal ujian basic avsec pdf topic, you have come to the ideal site. Our website frequently gives you suggestions for refferencing the highest quality video and picture content, please kindly surf and find more informative video content and images that fit your interests.
Contoh Soal Ujian Basic Avsec Pdf. Ndak sempat ikut ujian dikarnakan telat 10 menit stor kartu ujian. Berikut ini adalah kumpulan dari berbagi sumber tentang kumpulan soal sd kelas 1 pdf yang bisa gunakan untuk downloadplpg dan diunduh secara gratis dengan menekan. Jika ada sedang mencari contoh soal ujian basic avsec pdf. Admin blog Berbagi Contoh Soal 2019 juga mengumpulkan gambar-gambar lainnya terkait contoh soal ujian basic avsec pdf dibawah ini.
Soal Basic Avsec 2018 Pdf From id.scribd.com
Jika ada sedang mencari contoh soal ujian basic avsec pdf. Contoh soal psikotes penerimaan pt jasa marga tbk lengkap dengan jawaban plus contoh tes wawancara. Soal Awal Aviation Knowledge Pdf. PDF soal ujian negara basic avsec Free Download PDF 9 1 2020 Download soal ujian negara basic avsec Comments Report soal ujian negara basic avsec Please fill this form we will try to respond as soon as possible Your name Email Reason Description Submit Close Share Embed soal ujian negara. Soal skb avsec Contoh Soal CPNS 2018. Pilihlah salah satu jawaban yang paling tepat dengan memberikan tanda X pada jawaban soal di bawah ini.
Kumpulan soal sd kelas 1 pdf.
Contoh Soal Ujian Basic Avsec Pdf Februari 24 2021 Di bawah ini anda akan mendapatkan link download pdf doc kumpulan soal utbk sbmptn 2019 secara lengkap yang nantinya dapat digunakan untuk berlatih menghadapi ujian mandiri perguruan tinggi negeri seperti simak ui spmb utul atau sejenisnya. Jika ada sedang mencari contoh soal ujian basic avsec pdf. 3 Soal Ujian Pre Test Btcls Sag Materi BHD Post Test Kunci. Tidak semua lembaga pendidikan penerbangan bisa menyelenggarakan Ujian Negara ini. If you are author or own the copyright of this. Carousel Previous Carousel Next.
Source: id.scribd.com
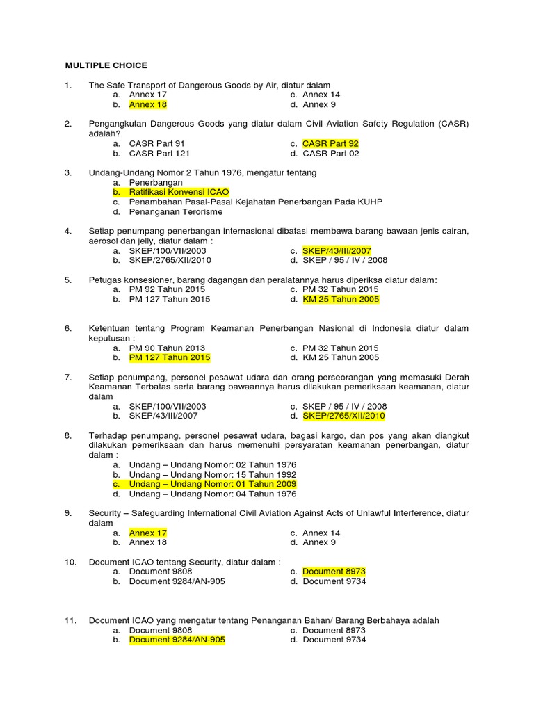
Carousel Previous Carousel Next. Pengangkutan Dangerous Goods yang diatur dalam Civil Aviation Safety Regulation CASR adalah. Ujian Negara Petugas Avsec Aviation Security Untuk. Diikuti 29 peserta dan dilangsungkan sehari dari jam 0900 WIB sampai selesai. Soal Ujian Teori SIM C pdf Soal ujian SIM C 2020 Ujian teori SIM C komputer Ujian teori SIM C komputer 2020 Simulasi ujian SIM C Soal Ujian teori SIM C 2020 Soal tes SIM A Download soal Ujian Teori SIM C pdf Ujian Praktek SIM C Tes SIM C online Soal Tes psikologi perpanjangan SIM C Ujian teori SIM C komputer benar salah 2020 Tren Gaya Contoh Soal.
Source: idoc.pub
Contoh Soal Ujian Lisensi Avsec. CONTOH SOAL UJIAN SERTIFIKASI MIKROTIK MTCNA 1 Ditulis oleh bacoberita. If you are author or own the copyright of this book please report to us by using this DMCA report form. Soal Ujian Negara Basic Avsec klzoor811e4g. Tomba Faq December 2019 56.
Source: id.scribd.com
Admin blog Berbagi Contoh Soal 2019 juga mengumpulkan gambar-gambar lainnya terkait contoh soal ujian basic avsec pdf dibawah ini. WAKTU ANDA UNTUK IV. Get started for free. Sebenarnya ada banyak latihan soal excel yang sudah pernah saya upload disini tapi semua masih basic dan. Kumpulan soal sd kelas 1 pdf.
Source: id.scribd.com
Admin blog Berbagi Contoh Soal 2019 juga mengumpulkan gambar-gambar lainnya terkait contoh soal ujian basic avsec pdf dibawah ini. Contoh soal tes tertulis avsec mendaftar pspp penerbangan bagi anda yang ingin mengikuti pendidikan avsec di pspp penerbangan berikut ini beberapa contoh soal tes tertulis avsec yang sekiranya dapat menjadi gambaran anda agar tidak kaget dan bisa mempersiapkan. Download View Bagi soal Basic Avsec New as PDF for free. Temukan Materi Bahasa Inggris terkait soal di bawah ini. This document was uploaded by user and they confirmed that they have the permission to share it.
Source: id.scribd.com
Soal ujian negara basic avsec. Diikuti 29 peserta dan dilangsungkan sehari dari jam 0900 WIB sampai selesai. September 4 2020 No Comments on CARA. Contoh Soal Ujian Lisensi Avsec. Berikut ini adalah kumpulan dari berbagi sumber tentang kumpulan soal sd kelas 1 pdf yang bisa gunakan untuk downloadplpg dan diunduh secara gratis dengan menekan.
Source: id.scribd.com
Sehingga ada beberapa jurusan yang mendapatkan materi SAP baik materi fungsional maupun teknikalcoding. Soal skb avsec Contoh Soal CPNS 2018. Contoh Soal Ujian Lisensi Avsec. WAKTU ANDA UNTUK IV. Get you assume that you require to get those every needs following having significantly cash.
Source: id.scribd.com
September 4 2020 No Comments on CARA. Detail Contoh Soal Tes Bahasa Jepang PDF dapat kamu nikmati dengan cara klik link download dibawah dengan mudah tanpa iklan yang mengganggu. Ndak sempat ikut ujian dikarnakan telat 10 menit stor kartu ujian. Sehingga ada beberapa jurusan yang mendapatkan materi SAP baik materi fungsional maupun teknikalcoding. Admin blog Berbagi Contoh Soal 2019 juga mengumpulkan gambar-gambar lainnya terkait contoh soal ujian basic avsec pdf dibawah ini.
Source: id.pinterest.com
105 Contoh Soal Ujian Basic Avsec Lengkap. This document was uploaded by user and they confirmed that they have the permission to share it. The Safe Transport of Dangerous Goods by Air diatur dalam a. Documents Similar To soal ujian negara basic avsec. Get started for free.
Source: latihansoalyuk.blogspot.com
Itulah yang dapat kami bagikan terkait contoh soal ujian basic avsec pdf. Strategibank soal jlpt tes bahasa jepang n5-n3 - Tokopedia STRATEGIBANK. Diikuti 29 peserta dan dilangsungkan sehari dari jam 0900 WIB sampai selesai. Soal Ujian Negara Basic Avsec Pdf. The Safe Transport of Dangerous Goods by Air diatur dalam a.
This site is an open community for users to do sharing their favorite wallpapers on the internet, all images or pictures in this website are for personal wallpaper use only, it is stricly prohibited to use this wallpaper for commercial purposes, if you are the author and find this image is shared without your permission, please kindly raise a DMCA report to Us.
If you find this site adventageous, please support us by sharing this posts to your own social media accounts like Facebook, Instagram and so on or you can also save this blog page with the title contoh soal ujian basic avsec pdf by using Ctrl + D for devices a laptop with a Windows operating system or Command + D for laptops with an Apple operating system. If you use a smartphone, you can also use the drawer menu of the browser you are using. Whether it’s a Windows, Mac, iOS or Android operating system, you will still be able to bookmark this website.




